research

My research interests focus on developing tools to evaluate various statistical properties of the early universe as observed through radio telescopes, providing a window into the formation and evolution of the cosmos. I am particularly enthusiastic about using machine learning methods to extract cosmological information from intensity mapping experiments, offering a unique perspective for theoretical analysis of observational data. I am also keen on developing computationally efficient codes that enable the simulation of large data volumes within a reasonable timeframe.


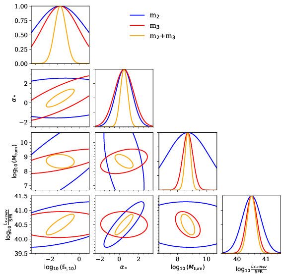
fisher_matrix_wedge_removal_1000nights.png

Fisher matrix results for astrophysical parameters derived from the second and third moments of mock HERA observations

Astrophysical parameter estimation based on non-Gaussian Features in Intensity Maps

The Hydrogen Epoch of Reionization Array (HERA) is a radio interferometer designed to detect the 21 cm signal from hydrogen originating from the early universe, especially during the Epoch of Reionization and Cosmic Dawn. Intensity mapping provides a unique lens for exploring non-Gaussian characteristics in cosmological signals, extanding beyond the random Gaussian fields, which is crucial for studying the properties of early galaxies. In this study, I used a Fisher information matrix to predict the detectability of the second and third moments for future HERA observations. The third moment, or skewness, serves as a tool for measuring non-Gaussinity in the 21 cm signals. The forecast suggests that with sufficiently long observation times and effective foreground removal, combining the second and third moments yields tight confidence intervals for model estimation.


wedge_filtered_obs_cubes_D1norm.png
3D Image cubes constructed from HERA Phase I radio observations

Imaging Data cubes using HERA observations

Image cubes are crucial in radio astronomy because they allow astronomers to study the spatial and spectral (frequency) properties of astronomical sources simultaneously. An image cube, also known as a data cube, is a three-dimensional dataset where two dimensions represent spatial coordinates (such as right ascension and declination), and the third dimension represents frequency. In this study, I constructed image cubes from HERA Phase I observations and analyzed how systematics impact one-point statistics measurements.


prediction_smooth_ground_truth.png
Ground truth and prediction derived from U-net for the 21 cm image

Tomography of 21 cm images using the deep-learning U-net architecture

21 cm intensity mapping involves measuring the emission from neutral hydrogen in the early universe, which provides insights into the large-scale structure of the cosmos and the epoch of reionization. I employed the U-Net architecture to extract tomographic information from the images based on simulated HERA mock observations, particularly to obtain details about ionization fields. U-Net is particularly useful because, by segmenting different regions of interest, it can isolate and study specific features in the 21 cm maps.